在道路照明中,如果没有对
LED路灯光源配光,照射在路面上的光型为面积较大的圆形光斑,会有部分光散落到路面之外而没有被利用,如图1(a)所示。
为了满足对路面的亮度、照度、均匀度的要求,且尽可能使得大部分光都分布在道路面上以提高灯光的利用率,减少不必要的浪费,通常需要对LED路灯进行配光,LED路灯输出的光线照射在路面上所形成的光型或光斑以矩形为佳,如图1(b)所示。

图1、LED路灯道路照明照射光斑示意图
1、道路照明标准配光要求 根据《城市道路照明设计标准》要求,道路照明中道路分为快速路与主干路、次干路、支路,LED道路照明配光要求标准值应符合表1的规定。
表1 道路照明标准值目前的LED路灯研究主要集中在次干路和支路上的应用,光通量小是LED路灯不能应用在主干路上的主要原因。在主干路上的应用还有待LED技术的研究和发展。
|
级别 |
道路类型 |
路面亮度 |
路面照度 |
眩光限制 阈值增量 TI(%) 最大初始值 |
环境比 SR 最小值 |
|
平均亮度 Lav(cd/m2) 维持值 |
总均匀度 Uo 最小值 |
纵向均匀度 UL 最小值 |
平均照度 Eh,av(lx) 维持值 |
均匀度 UE 最小值 |
|
Ⅰ |
快速路、主干路 |
1.50/2.00 |
0.4 |
0.7 |
20/30 |
0.4 |
10 |
0.5 |
|
Ⅱ |
次干路 |
1.00/1.50 |
0.4 |
0.5 |
15/20 |
0.4 |
10 |
0.5 |
|
Ⅲ |
支路 |
0.50/0.75 |
0.4 |
—— |
8/10 |
0.3 |
15 |
—— |
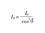
2、LED路灯的配光曲线 发光强度的空间分布通常称为配光曲线。在LED路灯的下方,光强应是最小,随着仰角θ增加,光强I增加。函数关系为:

即配光曲线表达式。道路照明单一灯具的理想配光曲线示意图如图2所示。
由于光学设计复杂性,配光形状难以完全符合函数关系,可以减小θ角的投射范围,减少灯具的间距来得到均匀照度。一般来说,希望在配光后能实现宽角度的“蝙蝠翼”形配光。

图2:道路照明LED路灯理想的配光曲线图
将《户外大功率LED路灯配光特点和要求》分享到: